풍력발전소 재무모델

재무예측 – 풍력

블로그에 아래와 같은 실질적인 질문이 들어와서 이를 바탕으로 재무예측을 해보자

1) 질문내용

  1. 에너지원 : 풍력
    2. 설치규모 : 50MW
    3. 이용율 : 24%
    4. 상업운전기간 : 20년
    5. SMP : 130원
    6. REC : 50원
    7. REC 가중치 : 2.0
    8. 총사업비 : 1,600억
    – 자기자본 : 320억
    – 타인자본 : 1,280억(금리 4.5%)
    9. 상업운전기간중 모든 고정지출비(연)
    – 유지보수, 보험, 판관비 등 일체 : 35억

이 질문을 분석하면, REC 가중치가 2.0인 것을 볼 때 해상풍력으로 연계거리 5km의 해상풍력발전을 고려하고 있는 것으로 보인다.

SMP를 130원, REC를 30원으로 가정한 것으로 보면 상당히 보수적으로 재무예측을 하는 경우라고 볼 수 있다.

이용율 24%의 경우 24시간 중 발전하는 비율이 24%인 것으로 볼 수 있으며 365일로 따지면 87.6일, 시간으로 따지면 2,102.4시간을 50MW로 발전하는 것으로 예상할 수 있다.

상업운전 기간 20년은 일반적인 기계장치의 감가상각 기간을 예상한 것으로 보인다. 풍력발전의 일반적인 상업운전 가능시간은 확인을 못하였으나, 화력발전의 경우에는 감가상각을 20년으로 하여도 실제 운영은 35년 정도 가능한 것으로 보고 있다.

자기자본 320억원, 타인자본 1280억원일 경우 자기자본 비율은 20% 수준으로 전기원회의 인가를 받을 때 일반적으로 제출하는 자기자본 비율 수준으로 볼 수 있다. 일부 발전 방식에 대해서는 더 높은 자기자본 비율을 요구하기도 한다. 전기위원회의 발전사업 인가 과정에 대해서는 향후 포스팅에서 설명할 예정이다.

2) 재무모델 설정

풍력발전
풍력발전

주요 요소 설정은 위의 그림과 같다. REC는 가중치가 2.0이고 REC단가는 50원으로 가정하였기 때문에 간단하게 100원으로 정리하였다. 운영비용은 전체적으로 35억원으로 가정하였기 때문에 보수 유지비로 정리하였다.

3) 재무모델 결과

이대로 입력하여서 재무모델을 보면 IRR부분에서 #NUM! 에러가 발생한다. IRR을 계산하는 방식이 NPV가 0이 되는 할인율을 계산하는 방식으로 단번에 계산하는 방식이 아니라 뉴튼-랩슨(Newton-Raphson) 방식을 사용하는데 이는 반복계산을 통해 근사치를 찾는 방식이다. 엑셀 프로그램은 반복계산을 20번 실시하는데 20번 하는 동안 근사치를 못찾는 경우 #NUM!에러가 발생한다. 이럴 경우 IRR함수에 추정치(guess)를 넣어 주면 계산이 완료 된다. 이 경에는 0.05를 추정치로 넣어주었다.

그 외에도  #NUM!에러가 발생하는 경우는 수치가 너무 클 경우 해를 찾기 어려운 문제가 발생하기 때문이다. 이 때에는 문제가 발생하는 현금흐름을 일정하게 나누어주어서 IRR을 계산하면 문제를 해결할 수 있다. 예를 들면 현금흐름을 1,000으로 나누어서 IRR을 계산하면 해결되는 경우가 있다.

최종적으로 할인율을 5.6%(자기 자본 기대수익률 10%, 타인자본 이율 4.5%)로 할 경우 세전 NPV는 539억원이며 세전 IRR은 9.6%가 나온다.

4) 풍력 발전 분석

풍력발전의 가장 큰 걸림돌은 주변의 민원이 상당히 크다는 것이다. 풍력 발전기의 블레이드가 돌아가는 소리에서 나는 소음에 대한 민원이 많으며 기타 민원들도 제기되고 있다. 이 때문에 발전사업 인허가를 받기 어려워 국내에서 확산 되기가 어려웠다. 해상 풍력의 경우에는 주변에 민가가 없어 민원의 소지가 적기는 하지만 어민들의 민원제기가 있어 역시 발전사업을 시작하기 쉽지 않다. 현실적으로 이러한 민원을 어떻게 잠재울 수 있는가가 풍력 발전 사업의 핵심이라고 볼 수 있다.
이 사례에서는 1MWh 당 약 32억원의 투자비를 고려하고 있다. 태양광발전이 20~25억원 수준인 것을 고려하면 상당히 높은 투자비용이며, 바이오매스 발전소 등과 비교해도 높은 수준의 투자비용을 요구 하고 있다. 문제는 풍력 발전의 문제는 일정하게 발전이 가능한 것이 아니라 기후 상황에 따라 발전량이 결정된다는 것이다. ESS와 연계된 풍력발전에 대하여 가중치를 높게 인정하더라도 불확실성이 높은 상황에서 투자가 증가하기 어려운 상황이다.
또한, 유지보수 비용이 상당히 크게 발생할 수 있다. 발전효율을 위해 대형 블레이드를 사용할 수록 불의의 사고로 인한 고장 및 파손 시 수리/교체 비용이 높게 발생하는 위험성을 가지고 있다.
이 때문에 풍력발전 업계에서는 더 높은 가중치를 요구하며, 풍력발전소 설치에 대한 제한을 완화하는 요구를 하고 있다.
현 재무 예측상으로는 세전 IRR이 9.6%에 달하기 때문에 투자를 하기에는 좋은 조건이며, 매출액도 200억 이상으로 상당한 규모를 확보할 수 있는 산업이며, 상대적으로 고정비용과 변동비용이 적은 발전방식이다. 20년간 기계 설비의 안정성에 문제 없이 운전할 수 있다면 투자자의 특징에 따라 충분히 투자할 가치가 있는 발전 프로젝트라고 볼 수 있다.

———————————————————————————————————————————————–

이번 내용의 엑셀파일은 재무예측-풍력.xlsx () 에서 다운받을 수 있다.

계산치가 바뀌지 않을 경우에는 ‘F9′ 키를 눌러서 계산을 수행한다.

위 링크를 클릭하면 아래 그림과 같은 화면이 나온다.

엑셀파일 공유 화면
엑셀파일 공유 화면

빨간색 사각형으로 표시한 파일 이름을 클릭하면, 아래와 같은 화면이 나온다.

엑셀파일 공유-2
엑셀파일 공유-2

현재 파일 공유는 ‘보기’만 가능하기 때문에 웹에서 바로 수정이 불가능하다, 엑셀 프로그램이 깔려 있는 경우에는 빨간 사각형을 눌러 파일을 다운받아 수정 및 작업이 가능하다.

사용하는 컴퓨터에 엑셀 프로그램이 없을 경우에는 원드라이브에 가입(무료)하고 파일을 자신의 계정에 업로드하면 웹에서 수정 및 작업이 가능하다.

태양광 발전소 재무모델

재무예측 – 태양광 발전

지난 포스트까지 작성한 바이오매스 발전소 재무모델을 바탕으로 태양광 발전소의 재무모델을 만들어 보자. 목표로 하는 태양광 발전소의 용량은 1MWh 급 발전소이다.

아래와 같은 가정을 가지고 재무모델을 작성한다.

  • 수익에 적용되는 SMP단가는 150원, REC단가는 100원으로 하여 바이오매스 발전에 적용한 수익과 동일하게 적용한다.
  • 태양과 발전소의 시설비용은 태양광 패널 1kWh당 250만원으로 하여 계산하고 발전소의 규모는 1MWh급으로 한다.
  • 태양광 발전소는 소내 소비 전력이 거의 없으나, 기타 장치의 동작 및 기타 손실을 고려하여 매시간 990kWh를 매전하는 것으로 한다.
  • 일간 발전시간은 2시간으로 가정한다. 국내 중부지방에서 일간 발전할 수 있는 시간으로 365일동안 매일 3.2시간 발전을 한다는 의미이다. 남부지방에서는 이보다 많은 시간을 발전한다.
  • 생산인건비는 최저임금 수준으로 1명을 고용하는 것을 가정하였다. 태양광 발전소의 경우 눈, 황사 등을 청소해야 효율이 높게 나므로 정기적인 청소가 필요하다. 상주인원이 없으므로 고장이나 시스템 에러 발생시 관리할 인력 역시 필요하다. 실제로 태양광 발전소 관리 용역업체가 있고, 보안 업체에서 서비스를 지원하는 경우도 있어서 이렇게 큰 비용은 필요 없으나 보수적으로 산정하였다.
  • 보수유지비는 500만원으로 고려하였다. 악천후, 번개, 파손 등의 이유로 패널을 교체할 수도 있고 기타 설비의 고장에 대응하기 위한 비용을 고려하였다. 이 비용을 매년 쓴다기 보다는 적립하여 큰 고장이나 수리 할 때 지출하는 것으로 고려할 수 있다.
  • 측정검사료는 500만원으로 책정하였다. 이 비용 역시 보수적으로 높게 책정하였다. 예상치 못한 비용이 발생하는 것을 고려하여 책정하였다.
태양광발전
태양광발전

변화된 내용은 다음과 같다.

  • 일발전 시간: 3.2시간을 통해 연간 운전시간을 구하였다. 1,168시간이다.
  • 판매 전력량: 시간당 990kW를 발전하여 판매 한다.
  • 삭제: 비용이 발생하지 않는 요소는 0으로 처리하였다. 연료단가, 연료사용량, 약품단가 등이다.
  • 생산인건비: 법정 최저시급을 바탕으로 예측하였다. 연간 2천만원으로 하였다.
  • 측정검사료: 5백만원으로 책정하였다.
  • 감가상각비: 25억원의 시설 비용을 20년에 상각하는 것으로 하였다.
  • SMP, REC상승률: SMP 1%, REC는 0%로 하였다.
  • 물가상승률: 3%로 하였다. 생산인건비에 적용된다.
  • 대출금, 대출금리: 3.5%로 하였다. 대출금은 시설투자비의 50%이다.
  • 시설투자 비용: 1kWh에 250만원으로 계산하였다.

예측 결과

태양광발전의 효과적인 면을 잘 볼 수 있다. 태양광 발전은 고정비용과 변동비용이 없기 때문에 이익이 많이 발생하는 구조이다. 평균적으로 영업이익률이 40%이상으로 나타나고 있다.

  • 프리캐쉬 플로우 시트에서 보면 할인률 8%로 NPV를 예측하면 세전 616,971,535원으로 나오며, 세전 IRR은 9.5%에 달한다.
  • 현금흐름표에서 간략하게 원금을 회수하는 기간을 확인하면 약16차년도에는 세전수익으로 발생하는 현금이 시설투자비용과 비슷하게 발생한다.

추가 고려 사항

  • 토지에 대해 발생하는 재산세 및 태양광발전소 시설에 대해서도 재산세(일부 지자체)를 고려하여야 한다.
  • 약 3MW이하 발전소의 경우 전용선로를 설치하지 않고 전신주를 통해 매전이 가능하다.하지만 전신주에 연결할 수 있는 단자가 없는 경우 자비로 설치를 해야 하는데 이 비용이 높은 편이다.

태양광 발전 분석

  • 현재 은행 금리가 매우 낮은 상황으로 태양광 발전소 투자는 매우 경쟁력 있는 투자 방안이다.
  • 태양광 발전을 다른 사업형태와 비교할 때는 큰 매력이 없을 수 있다. 25억원 투자하여 매출액은 12%이며, 영업이익은 10% 수준으로 다른 투자와 비교하면 매력이 없을 수 있다.
  • 태양광 발전은 다른 투자방안에 비해 적은 매출액과 낮은 수익률을 가지고 있지만, 은행금리보다는 높은 수익성을 가지고 있으며, 특별히 신경을 쓰지 않아도 운영이 가능한 특징을 가진 투자방안이다.
  • 충분한 토지를 가지고 있고, 자금의 여유가 있다면 투자할 가지가 있는 사업이다.
  • 실제 태양광 발전소를 운영하는 사례를 보고 싶을 경우 김지석 영국대사관 기후담당관의 페이스북을 참고하는 것이 좋다.( https://www.facebook.com/jiseok.kim.3954?fref=ts) 약 45평의 지붕에 20kw의 태양광패널을 설치하여 운영 중이다.

——————————————————————————————————–

이번 내용의 엑셀파일은 재무예측-태양광.xlsx () 에서 다운받을 수 있다.

계산치가 바뀌지 않을 경우에는 ‘F9′ 키를 눌러서 계산을 수행한다.

위 링크를 클릭하면 아래 그림과 같은 화면이 나온다.

엑셀파일 공유 화면
엑셀파일 공유 화면

빨간색 사각형으로 표시한 파일 이름을 클릭하면, 아래와 같은 화면이 나온다.

엑셀파일 공유-2
엑셀파일 공유-2

현재 파일 공유는 ‘보기’만 가능하기 때문에 웹에서 바로 수정이 불가능하다, 엑셀 프로그램이 깔려 있는 경우에는 빨간 사각형을 눌러 파일을 다운받아 수정 및 작업이 가능하다.

사용하는 컴퓨터에 엑셀 프로그램이 없을 경우에는 원드라이브에 가입(무료)하고 파일을 자신의 계정에 업로드하면 웹에서 수정 및 작업이 가능하다.

발전소 재무모델 결산(바이오매스)

그 동안 바이오매스 발전소를 운영할 경우의 재무 모델을 정리해 보았다.

재무모델에서 일부 수치를 고정으로 만들어 놓아서 처음 재무모델을 보는 사람들이 혼돈할 수 있는 여지가 있었다.

기본사항 페이지에서 다음과 같은 변화를 주었다.

시설투자비용을 추가하여 시설 비용을 넣게 하였다.

감가상각비용은 시설투자비용을 20년으로 상각하는 것으로 하였다.

이번 내용의 엑셀파일은 재무예측-7.xlsx () 에서 다운받을 수 있다.

계산치가 바뀌지 않을 경우에는 ‘F9’ 키를 눌러서 계산을 수행한다.

위 링크를 클릭하면 아래 그림과 같은 화면이 나온다.

엑셀파일 공유 화면
엑셀파일 공유 화면

빨간색 사각형으로 표시한 파일 이름을 클릭하면, 아래와 같은 화면이 나온다.

엑셀파일 공유-2
엑셀파일 공유-2

현재 파일 공유는 ‘보기’만 가능하기 때문에 웹에서 바로 수정이 불가능하다, 엑셀 프로그램이 깔려 있는 경우에는 빨간 사각형을 눌러 파일을 다운받아 수정 및 작업이 가능하다.

사용하는 컴퓨터에 엑셀 프로그램이 없을 경우에는 원드라이브에 가입(무료)하고 파일을 자신의 계정에 업로드하면 웹에서 수정 및 작업이 가능하다.

스마트폰의 하드웨어 경쟁은 끝났다…

스마트폰에서 더 이상 하드웨어가 중요한 시절은 끝났다.
할부원금 0원인 G2를 사용하면서 느낀 것이다.

2013년 출시된 G2의 프로세서인 스냅드래곤 800은 대략 2.3GHz의 속도로 동작하는데..
드디어 ‘가비지 콜렉션’이 보틀넥 없이 동작해서…
이제는 큰 무리 없이 쓸 수 있는 정도가 되었고
결정적으로 전화가 왔을 때 바로 받을 수 있게 되었다는 것이다.

즉, 이미 스마트폰을 쓰는데 하드웨어 성능은 충분해졌다는 상황.
보통 사람이 스마트폰으로 뭘할까…
전화받고, 카톡하고, 인터넷 서핑하고, 모두의 마블이나 쿠키런 같은거 하는데 더 이상의 성능은 필요할까?
아.. 카메라의 경우 2년전에 출시된 핸드폰에도 OIS가 있을 정도니 일반 사람들에게 더이상의 카메라가 필요한가?

스마트폰의 환경이 PC산업과 아주 흡사하게 흘러가고 있다.
초기에는 CPU, RAM, HDD의 RPM 등이 다 중요했고, 하드웨어 궁합이 필요했지만..
어느 순간 일상 작업을 하는데 하드웨어의 성능을 따질 필요가 없는 상황이 되었고 그 순간 PC산업은 가격이 중요한 선택기준이 되었다.

스마트폰도 PC산업과 동일한 방향으로 발전하고 있다.
처음에 블랙베리와 아이폰은 IBM의 PC나 맥과 같은 상황이었고..
안드로이드 운영체제가 MS-DOS와 같은 상황을 만들었고..
안드로이드가 몇번의 번전업을 하면서 하드웨어 스펙도 어느정도 표준화가 완료 된 상황.
라이프 사이클 상으로 보아도 그럴 듯하고…

이제 일반 소비자가 선택하는 기준은 가격, 브랜드, 희소성 정도로 나뉘게 될 것이다.

여기서 궁금한 것은 삼성은 어떤 전략을 가질 것인가의 문제.
가격으로 경쟁하기에는 중국과 경쟁하기에는 어렵고…
SCM의 DELL이 PC시장에서 차지하는 모습과
역시 SCM의 삼성이 스마트폰 시장에서 어찌 될지를 예상할 수 있지 않을까?
델은 그나마 저가 제품 세그먼트에나 들어갔지만.. 삼성은…..

브랜드로 가자고 하니 이미 1위 브랜드는 넘볼 수가 없는 상황이고.
해외 인터뷰 영상을 보아도 아이폰은 ‘iPhone’이지만.. 삼성은 항상 ‘Samsung Galaxy’로 불리는 걸 보면 아이폰과 경쟁도 요원하고…

오히려 샤오미, 화웨이와 브랜드 경쟁을 해야할 상황..
국내에서는 충성도가 높은 삼성이지만 이미 삼성은 국내 시장에만 핸드폰 팔아서는 안되는 상황. 거기에 저가폰도 ‘갤럭시’ 브랜드 달고 나오면,….

희소성을 선택하기에는 희소하게 만들 방법이 없음.
안드로이드가 아닌 OS를 사용하기에는 이미 바다는 완전 포기
타이젠은 거의 포기 상태고.
보석을 박아 넣을 수도 없고..

뭐랄까…
삼성이 PC사업에서 철수할 때 어땠는지를 좀 찾아보고 싶어지는 상황.

NPV, IRR 분석

NPV와 IRR의 이론

투자를 수행하기 위해서 일반적으로 확인하는 것이 NPV와 IRR이다.

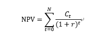
NPV(Net Present Value: 순현재 가치)는 투자의 미래현금흐름(Future cash flow)을 정해진 할인율에 따라 현재가치(PV: Present Value)로 계산하여 투자를 통해 얻을 수 있는 가치를 추정하는 방식이다.

NPV수식
NPV수식

t=현금 흐름 기간

N=사업의 전체 기간

r=할인율

Ct=t시점의 현금흐름

수식을 말로 설명하면 전체 사업기간에서 매년 발생하는 현금흐름 1년치를 할인율의 승을 한 값으로 나누어 합한 것이 NPV이다.

IRR(Internal Rate of Return: 내부수익률)은 NPV가 0이 되는 할인율을 말한다. IRR을 통해서 투자에서 얻을 수 있는 최대 수익률을 예측할 수 있기 때문에 NPV보다 선호되어서 사용되며 이 IRR이 투자자가 얻을 수 있는 최대 수익률이라고 생각할 수 있다.

이 블로그에서는 NPV와 IRR을 계산하기 위해서 프리 캐쉬 플로우(Free Cash flow)를 활용한다. 현실에서 프리 캐쉬 플로우를 도출하는 방식은 여러가지 변형된 형태로 사용되고 있기 때문에 한가지 방식으로 확정하기 어려운 면이 있다. 작성의 편리성을 위해서 손익계산서를 바탕으로 간략하게 작성한 프리 캐쉬 플로우를 작성하였다. 자세한 내용은 엑셀 파일의 프리 캐쉬 플로우 시트에 포함되어 있다.

NPV는 엑셀에 함수로 포함되어 있는데 NPV(할인율, 현금흐름)으로 계산할 수 있으며 IRR 역시 함수로 되어 있어서 IRR(현금흐름) 으로 간단하게 계산할 수 있다. 엑셀 파일에 포함된 프리 캐쉬 플로우에는 이 계산 방법이 포함되어 있다.

예측결과

결과는 엑셀 파일에 포함되어 있다. SMP를 113.6 원 REC를 70원으로 하여 계산하면 세전NPV가 – 50,086,292,073원으로 투자를 할 경우 장기적으로 500억원의 손해를 보는 것으로 나오기 때문에 이 사업에는 투자할 가치가 없다. IRR의 경우에는 NPV를 0으로 만들 수 있는 할인율이 없기 때문에 #NUM! 라는 에러가 표시 된다.

투자를 했을 때 손해를 보는 사업을 추진할 수 없기 때문에 SMP와 REC를 상향조정하여 계산을 하여 NPV와 IRR에 대하여 이해를 높이도록 한다.

SMP는 150원 REC는 100원으로 계산을 하도록 한다. 이렇게 상향조정하여 NPV와 IRR을 계산하면 세전 NPV는 4,528,920,462원으로 45억원의 이익으로 계산된다. 이는 할인율을 6.9%로 계산했을 때 45억원의 이익이 난다는 것으로 25년간 6.9%의 수익률을 확보하면서도 45억원의 추가 수익이 있다는 것이다.

할인율은 6.9%로 계산을 했는데 이는 310억원의 투자금에서 3.5% 금리로 대출한 150억원과 자본금 160억원을 투자해서 얻고자 하는 수익률이 10%일 때 이를 가중평균했을 때 필요한 수익률이다. 만약 3.5%이하 금리로 150억원을 대출할 수 있거나, 내부적으로 예상하는 수익률이 10%보다 낮다면 NPV는 상승하게 된다.

또한 세전IRR을 보면 10.5%가 나오는데 이는 NPV가 0이 되는 할인율이 10.5%라는 것으로 이 사업에 투자하면 10.5%의 수익이 발생할 수 있다는 것을 보여준다. (NPV 계산할 때 10.5%로 계산하면 NPV는 0에 가깝게 나온다. -800만원대)

이 블로그에서는 세전을 중심으로 이야기를 할 것이다. 그 이유는 두 가지가 있는데, 세전으로 계산할 때 다른 투자방식과 비교가 편리한 특징이 있고, 법인세의 경우에는 조정이 가능한 금액이기 때문이다. 예를 들면 자본금과 대출금의 비율 조정을 이용할 수도 있고, 부동산투자회사 형태를 통해 법인세를 절약할 수 있고, 론스타 케이스에서 보듯이 조세피난처를 통하여 절감할 수 있는 등 여러 가지 방법이 있어서 이를 통해 변화를 줄 수 있는 요소이기 때문이다.

실제 활용

우선 사용자에 따라 수치를 바꾸어도 계산이 안되는 경우가 있는데, 이는 계산 옵션이 수동으로 되어 있는 상황으로 F9 키를 누르면 계산이 수행 된다. 이 기능은 엑셀 옵션 수식에서 아래 그림과 같이 ‘수동’으로 설정되어 있을 때 발생하는 현상이다. 자동으로 계산하게 하려면 옵션에서 자동을 선택하면 된다.

엑셀옵션
엑셀옵션

SMP와 REC가격을 변경하고자 할 때는 아래 그림과 같이 기본사항 탭에서 수정하면 된다. 각 사용자들마다 SMP와 REC가격을 다르게 평가할 수 있으므로 적절한 예측치를 넣어서 계산할 수 있다. 또한 연료단가 등의 비용을 조정해서 예측을 하는 것도 가능하다.

SMP, REC조정
SMP, REC조정

이 블로그에서는 프리 캐쉬 플로우에 이자 비용을 포함하지 않았다. 이유는 프로젝트에 대한 수익률을 계산하기 편리하기 때문이다. 자금을 조달하는 방법은 단순하게 은행에서 대출을 하는 것 외에도 여러 가지 방법이 있을 수 있다. 그래서 간단하게 프로젝트의 수익률만 계산을 통해 조달 금리와 비교해볼 수 있다.

예를 들면 이 프로젝트의 IRR은 10.5%가 나왔다. 이는 프로젝트 투자 비용 310억원을 모두 은행에서 3.5%에 빌려서 수행하더라도 수익률은 7% 수준을 유지할 수 있다는 것이다. 이를 다시 말하면 평균 조달 금리가 10.5%가 될 때까지는 가능하다라고 판단하고 자금을 조달할 수 있다는 것이다.

즉 150억원은 3.5%에 조달하고 160억원은 약 17%에 조달하여도 이 프로젝트는 손해를 보지 않을 수 있다는 계산을 편리하게 할 수 있기 때문이다.

첨부한 엑셀의 기본사항 시트에서 자금 조달 구조를 변경하면서 확인 할 수 있다.

자금구조
자금구조

이번 내용의 엑셀파일은 재무예측-6.xlsx () 에서 다운받을 수 있다.

위 링크를 클릭하면 아래 그림과 같은 화면이 나온다.

엑셀파일 공유 화면
엑셀파일 공유 화면

빨간색 사각형으로 표시한 파일 이름을 클릭하면, 아래와 같은 화면이 나온다.

엑셀파일 공유-2
엑셀파일 공유-2

현재 파일 공유는 ‘보기’만 가능하기 때문에 웹에서 바로 수정이 불가능하다, 엑셀 프로그램이 깔려 있는 경우에는 빨간 사각형을 눌러 파일을 다운받아 수정 및 작업이 가능하다.

사용하는 컴퓨터에 엑셀 프로그램이 없을 경우에는 원드라이브에 가입(무료)하고 파일을 자신의 계정에 업로드하면 웹에서 수정 및 작업이 가능하다.

민감도 분석

기업의 재무 상태에 영향을 미치는 요소가 많으므로 주요한 요소가 수익성에 주는 영향을 확인할 필요가 있다. 이 방식을 민감도 분석이라고 한다. 발전소에서 중요한 요소는 수입에 영향을 주는 SMP와 REC가격, 비용에 영향을 주는 연료비이다. 이 3가지 요소가 발전소의 수익성에 영향을 주는 정도를 확인해 보자.

발전소를 건설할 때 은행에서 대출을 통해 자금을 조달하였다면 회사를 운영하고 나서도 은행 이자를 지급할 수 있을 정도의 수익이 확보되어야 한다. 즉, 영업이익 금액이 은행이자율 보다 높도록 하는 것이 더 좋겠지만, 계산을 한번 더 해야해서 혼돈을 줄 가능성이 높아서 최저 수익율을 기준으로 두고 계산해보기로 한다.

이 발전소의 최저수익률은 영업이익 기준으로 매출의 6%이상을 영업이익으로 가져가는 것을 목표로 하여 계산한다. 본 프로젝트에서 가정한 기준 가격은 이미 음수(-) 상태이므로 민감도 분석은 영업이익률이 상승하는 방향으로 최대 30%의 변화를 3%단위로 계산하여 본다.

민감도 분석결과는 ‘민감도분석’ 시트를 만들어서 결과를 저장하고 정리한다. 고급방법을 사용하면 자동화된 방식으로 민감도 분석을 수행할 수 있지만, 이 포스팅은 엑셀 기술을 위한 포스팅이 아니므로 직접 계산하여 정리하는 방식으로 분석한다.

결과는 아래와 같다

변화

비율

0% 3% 6% 9% 12% 15% 18% 21% 24% 27% 30%
SMP의 변화 -4.6% -2.7% -0.9% 0.8% 2.5% 4.2% 5.8% 7.3% 8.8% 10.3% 11.7%
REC의 변화 -4.6% -3.5% -2.3% -1.2% -0.1% 0.9% 2.0% 3.0% 4.1% 5.0% 6.1%
연료비 변화 -4.6% -2.6% -0.5% 1.4% 3.5% 5.6% 7.6% 9.7% 11.7% 13.8% 15.8%

표에 보이는 바와 같이 SMP는 21% 상승시 영업이익률 6%이상이 가능하며, REC는 30% 상승, 연료비는 18%이상 하락시에 영업이익률 6%가 가능하다.

민감도 분석
민감도 분석

민감도 분석 결과를 그래프로 보면 더욱 확연하게 볼 수 있다. 기울기가 가장 급한 연료비가 영업이익률에 미치는 영향이 가장 크며, SMP가 2번째, REC가 가장 적은 영향을 미치는 것으로 분석할 수 있다.

엑셀의 기능 중 그래프에 추세선을 추가하고 수식을 표시하는 기능을 사용하면 그래프의 기울기를 구할 수 있으며, 이 결과는 아래 그림과 같다. 그림의 수식을 보면 연료비 수식의 기울기가 0.0206으로 기울기가 가장 급하다는 것이 표시 된다.

민감도 추세선
민감도 추세선

=======================================================================================

이 블로그에서 연재하는 신재생에너지 발전소 재무 예측은 엑셀파일로도 만들것이며, 매회 진행내용만큼 추가된 파일을 공개할 예정이다.

파일공유는 마이크로소프트(www.microsoft.com) 에서 제공하는 원드라이브(www.onedrive.com) 을 통해서 수행할 것이며, 원드라이브는 마이크로소프트에서 제공하는 클라우드 저장공간 서비스이며, 웹을 통해 엑셀, 워드, 파워포인트 등을 사용할 수 있게 기능을 제공해주고 있다.

이번 내용의 엑셀파일은 재무예측-5.xlsx () 에서 다운받을 수 있다.

위 링크를 클릭하면 아래 그림과 같은 화면이 나온다.

엑셀파일 공유 화면
엑셀파일 공유 화면

빨간색 사각형으로 표시한 파일 이름을 클릭하면, 아래와 같은 화면이 나온다.

엑셀파일 공유-2
엑셀파일 공유-2

현재 파일 공유는 ‘보기’만 가능하기 때문에 웹에서 바로 수정이 불가능하다, 엑셀 프로그램이 깔려 있는 경우에는 빨간 사각형을 눌러 파일을 다운받아 수정 및 작업이 가능하다.

사용하는 컴퓨터에 엑셀 프로그램이 없을 경우에는 원드라이브에 가입(무료)하고 파일을 자신의 계정에 업로드하면 웹에서 수정 및 작업이 가능하다.

재무예측-시계열 확장

지난 포스트에서는 손익계산서와 현금흐름표를 작성하여 보았다. 발전소의 경우 최소 20년에서 30년간 운영하는 시설이고 투자비가 높아 장기간에 걸쳐 수익을 창출해야 하는 특징을 가지고 있다. 이 때문에 발전소 운영 계획을 세울 때에는 장기간에 걸친 손익계산서와 현금흐름표를 작성해야 한다. 실제로 발전소 설치를 위한 인허가인 전기사업자 인허가를 받기 위해서는 최소 5년간의 예측 손익계산서를 제출하여야 한다.

손익계산서와 현금흐름표를 시계열로 확장할 때는 물가인상률에 따른 수입과 비용의 증가를 고려하는 것이 중요하며, 감가상각과 금융비용의 종료에 따른 영향을 고려하는 것이 필요하다. 그 외에는 1차년도의 재무모델을 작성한 것과 큰 차이가 없이 작성 가능하다.

1) 물가 상승률

매년 물가인상에 따라 인건비, 약품비 등이 상승하게 된다. 실제적으로는 모든 비용이 물가상승률에 따라서 상승하는 것은 아니기 때문에 일률적으로 적용하기에는 무리한 부분이 있다고 생각하지만, 기본적인 물가 상승은 고려하는 것이 좋다.

SMP의 경우에는 물가상승률의 영향을 직접 받는다고 보기가 어렵다. SMP는 그 당시의 전력수급 상황에 따라서 영향을 받는 요소로 일정 비율로 상승한다고 보기에는 어렵기 때문이다. 또한 최근과 같이 유가하락기에는 LNG가격도 하락하기 때문에 공급이 부족한 상황에서도 가격상승이 제한 될 수 있다. 단, 이 포스팅에서는 방법을 소개하는 목적에 맞추어 매년 1%씩 가격이 상승하는 것으로 가정하였다.

REC는 장기계약을 통해 고정가격으로 계약한 것으로 가정하였다. 이 때문에 상승률은 0%이다.

물가 상승률은 3%로 가정하였다. 물가 상승률은 연료비 뿐만 아니라 다른 모든 비용에 영향을 주도록 가정하였다.

SMP 상승률 1%
REC 상승률 0%
물가 상승률 3%

2) 원리금 상환

대상 프로젝트에서는 사업비의 50%인 150억원을 은행에서 대출을 받아서 조달하였으며, 이율은 3.5%, 상환기간은 10년으로 가정하였다. 자금 조달 시점은 0차년도에 조달하고, 원리금 상환은 1차년도부터 시작한다. 원리금상환은 원리금 균등상환방식으로 가정하였다.

원리금 균등상환 방식은 엑셀의 PMT함수를 이용하여 구할 수 있다.

PMT(rate, nper, pv, [fv], [type])

Rate: 필수, 연간이율

Nper: 필수, 상환횟수

pv: 필수, 현재가(Present value) 대출금일 경우 음수(-)를 사용

fv: 선택, 미래가(Future value) 저금을 할 경우 원하는 목표액

Type: 선택, 0일 경우 기간의 마지막에 지급/적립, 1일 경우 기간 초에 지급/적립

150억원을 대출하여 3.5%의 이율로 10년간 원리금 균등상환을 할 경우 매년 상환하는 원리금은 18억원 정도가 된다. (pmt(0.035, 10,-15000000000))

3) 엑셀파일 – 기본사항 시트

22행부터 이번 포스팅에 사용된 내용을 표시하였다. SMP, REC, 물가 상승률의 정의하였고, 대출금 상환기간, 대출금액, 대출금리를 바탕으로 연간 원리금 상환금액을 계산하였다.

재무모델 시계열 가정
재무모델 시계열 가정

4) 엑셀파일 – 변수 시트

25년치의 계산을 해야 하기 때문에 계산을 간단하고 명확하게 하기 위해서 변수를 만들어서 계산을 수행하도록 하였다.

손익계산서 시트나 현금흐름표 시트에서 직접 계산하도록 수식을 만들 수 있지만, 각 셀에 포함된 수식이 복잡하고 길어지게 되면 나중에 문제가 발생했을 때 발견하고 수정하는 것이 어렵게 된다. 이를 방지하고자 ‘변수’라는 시트를 만들어서 손익계산서나 현금흐름표에서는 간단한 사칙연산으로 계산되도록 하여 재무모델의 유지보수를 편리하게 하는 목적이 있다.

또한, 재무제표의 다른 요소인 FS와 법인세, 배당금 등을 계산하도록 할 때에는 반복 계산 기능을 통해서 재무모델을 동작시키는데 이 때 각 셀의 계산이 복잡할 경우 동작시간이 느려질 수 있어서 이를 방지하는 목적도 있다.

SMP, REC, 물가 상승률은 기본사항 시트에서 정의한 내용을 매년차 별로 계산하여 손익계산서나 현금흐름표에서 간단히 곱셈으로 계산할 수 있도록 하였다.

원리금 상환기간은 상환하는 연차는 1, 상환하지 않는 연차는 0으로 하였다. 이렇게 표시 할 경우 기본사항 시트에서 계산한 연간 원리금 상환액과 단순히 곱하는 것으로도 원리금 상환을 구현할 수 있다.

감가상각기간 역시 감가상각하는 연차는 1, 감가상각하지 않는 연차는 0으로 하였다.

시계열-변수
시계열-변수

 5) 엑셀파일 – 손익계산서 시트

손익계산서는 1차년도 손익계산서와 큰 차이점은 없다. 다만, 수익과 비용에서 변수 시트에 있는 물가 인상률 등을 곱하여 물가인상을 고려한 것이 차이이다. 매출요소인 SMP는 연간 1%씩 증가를 하고 REC는 증가하지 않는 반면, 비용은 모두 3%씩 증가하기 때문에 연도가 지나갈수록 손실이 커지는 것을 볼 수 있다.

특이한 점은 연간 원리금상환 금액에서 원금 상환을 제하여 이자비용만 영업외 비용으로 인식하는 것이 차이이다. 원금의 상환은 손익계산서에는 나타나지 않으며, 감가상각비가 그 역할과 유사하다고 보면 된다.

시계열-손익계산서
시계열-손익계산서

6) 엑셀파일 – 현금흐름표 시트

현금흐름표는 손익계산서를 바탕으로 만들어지기 때문에 큰 차이는 없다. 단, 감가상각비용은 현금 유출로 계산하지 않으며, 원리금 상환금액을 포함하는 것을 고려해 주면 된다. 예측을 깊게 하려면 더 많은 고려사항이 필요하겠지만, 대략적인 내용은 이 정도의 이해를 가지고도 충분히 예측할 수 있다.

시계열-현금흐름표
시계열-현금흐름표

재무예측 결과에서 보이는 바와 같이 이 발전 사업은 수익을 내기가 불가능에 가까운 사업으로 보인다. SMP와 RPS제도를 바탕으로 하는 현재의 제도에서는 신재생에너지 발전 비중이 증가하기 어려운 이유를 보여주는 내용이기도 하다. 다음 번 포스트에서는 이 재무예측을 바탕으로 사업성을 검토하는 방법을 하나씩 확인하도록 할 예정이다.

=======================================================================================

이 블로그에서 연재하는 신재생에너지 발전소 재무 예측은 엑셀파일로도 만들것이며, 매회 진행내용만큼 추가된 파일을 공개할 예정이다.

파일공유는 마이크로소프트(www.microsoft.com) 에서 제공하는 원드라이브(www.onedrive.com) 을 통해서 수행할 것이며, 원드라이브는 마이크로소프트에서 제공하는 클라우드 저장공간 서비스이며, 웹을 통해 엑셀, 워드, 파워포인트 등을 사용할 수 있게 기능을 제공해주고 있다.

이번 내용의 엑셀파일은 재무예측-4.xlsx (http://1drv.ms/15kY3EZ) 에서 다운받을 수 있다.

위 링크를 클릭하면 아래 그림과 같은 화면이 나온다.

엑셀파일 공유 화면
엑셀파일 공유 화면

빨간색 사각형으로 표시한 파일 이름을 클릭하면, 아래와 같은 화면이 나온다.

엑셀파일 공유-2
엑셀파일 공유-2

현재 파일 공유는 ‘보기’만 가능하기 때문에 웹에서 바로 수정이 불가능하다, 엑셀 프로그램이 깔려 있는 경우에는 빨간 사각형을 눌러 파일을 다운받아 수정 및 작업이 가능하다.

사용하는 컴퓨터에 엑셀 프로그램이 없을 경우에는 원드라이브에 가입(무료)하고 파일을 자신의 계정에 업로드하면 웹에서 수정 및 작업이 가능하다.

재무예측-현금흐름표

현금흐름표 작성

현금흐름표는 기업의 현금흐름 현황파악과 예측을 가능하도록 정보를 제공하는 것을 목표로 한다. 현금흐름표는 기업활동을 영업활동, 투자활동, 재무활동으로 나누어 나타냄으로 해서 이 정보를 바탕으로 기업이 사용하는 현금에 대한 정보를 정확히 이해하는 것을 도와준다.

지난 포스트까지 작성한 내용은 손익계산서(IS/PL)의 관점에서 재무예측을 한 것으로 감가상각비는 포함되어 있는 반면 은행대출의 원금 상환은 고려하지 않고 있어서 실제 현금이 어떻게 사용되는지를 이해하기 어려운 단점이 있다. 이번 포스트에서는 현금흐름표를 작성하여 현금흐름 현황을 파악하는 것을 알아보도록 한다.

현금흐름표는 아래와 같은 항목으로 구성된다.

구분 설명
영업활동 현금흐름 기업의 제품생산, 용역제공을 통해 경제활동을 하는 현금흐름
영업활동 현금유입 현금매출, 외상매출금 회수, 이자 수령, 배당금 수령
영업활동 현금유출 현금매입, 외상매입금 지급, 소모품 현금구입, 급료 등 지급
투자활동 현금흐름 유무형 자산의 취득 및 처분에 관한 흐름
투자활동 현금유입 타회사 주식처분, 공사채 처분, 유형자산 매각, 대여금 회수
투자활동 현금유출 타회사 주식매입, 공사채 매입, 유형자산 매입, 현금 대여
재무활동 현금흐름 현금의 차입과 상환, 배당 등의 현금흐름
재무활동 현금유입 신주발행, 사채발생, 현금 차입
재무활동 현금유출 자기 주식 매입, 차입금 상환, 배당금 지급

이러한 개념을 바탕으로 실제 현금흐름표를 작성하면 아래와 같다.

구분 0차년도 1차년도
영업활동 현금흐름

1,028,320,000

영업활동 현금유입

13,072,320,000

영업활동 현금유출

12,044,000,000

투자활동 현금흐름

– 30,000,000,000

투자활동 현금유입
투자활동 현금유출

30,000,000,000

재무활동 현금흐름

31,000,000,000

– 1,950,000,000

재무활동 현금유입

31,000,000,000

재무활동 현금유출

1,950,000,000

현금의 증감

1,000,000,000

– 921,680,000

0차년도는 발전소를 건설하는 도중을 말한다. 실제로는 2년 이상의 기간이 필요하지만 이 포스팅에서는 이해를 위해 1년에 모든 공사가 완료되고, 1차년도부터는 정상운행 하는 것으로 가정하였다. 현금흐름을 분석해 보면 0차년도에는 투자활동으로 발전시설 300억원을 지출하였다. 재무활동 현금으로는 자본금을 160억원과 은행에서 150억원을 대출(이율 3%, 10년 상환)하여 법인에 들어오는 것으로 가정하였다.

0차년도에서는 자본금과 대출금의 합인 310억원과 발전설비 건설비 300억원의 차인 현금 10억원 증가한 것으로 가정하였다. 현금 10억원은 기업운영에 필요한 여유 현금으로 예상치 못한 현금 사용이 필요할 경우에 사용할 수 있는 금액이 된다.

1차년도는 1월 1일부터 발전소가 정상적으로 운영하여 수익이 발생하는 것으로 가정하였다. SMP 와 REC로 발생하는 수익은 130억원, 발전소를 운영하는데 필요한 비용은 120억원으로 현금흐름은 약 10억원 정도가 된다. 재무활동의 현금흐름에서는 발전소 건설을 위해 150억원을 은행에서 대출하여 150억원의 연간 이자 4.5억원과 원금상환 15억원으로 약 19.5억원의 현금 지출이 발생한다.(실제 원리금 상환방식과는 차이가 있으나 간략하게 설명하였다) 영업활동에서 10억원의 현금유입이 발생하였으나, 19.5억원의 현금유출이 발생하여 현금의 증감은 -9.2억원 정도가 발생하는 것으로 나타난다.

이전 포스트인 손익계산서에서는 영업이익이 -6.1억원, 법인세 차감전 이익이 -10억원 정도가 발생하는데, 현금흐름표상에 나타나는 -9.2억원과는 차이가 있다. 이는 감가상각비와 대출금액의 원리금 상환금액이 다르기 때문에 발생하는 현상으로 법인이 가용할 수 있는 현금을 확인하기에는 현금흐름표를 이용하는 것이 편리하다.

==============================================================================================

이 블로그에서 연재하는 신재생에너지 발전소 재무 예측은 엑셀파일로도 만들것이며, 매회 진행내용만큼 추가된 파일을 공개할 예정이다.

파일공유는 마이크로소프트(www.microsoft.com) 에서 제공하는 원드라이브(www.onedrive.com) 을 통해서 수행할 것이며, 원드라이브는 마이크로소프트에서 제공하는 클라우드 저장공간 서비스이며, 웹을 통해 엑셀, 워드, 파워포인트 등을 사용할 수 있게 기능을 제공해주고 있다.

이번 내용의 엑셀파일은 재무예측-3.xlsx (http://1drv.ms/1DKe9Uv) 에서 다운받을 수 있다.

위 링크를 클릭하면 아래 그림과 같은 화면이 나온다.

엑셀파일 공유 화면
엑셀파일 공유 화면

빨간색 사각형으로 표시한 파일 이름을 클릭하면, 아래와 같은 화면이 나온다.

엑셀파일 공유-2
엑셀파일 공유-2

현재 파일 공유는 ‘보기’만 가능하기 때문에 웹에서 바로 수정이 불가능하다, 엑셀 프로그램이 깔려 있는 경우에는 빨간 사각형을 눌러 파일을 다운받아 수정 및 작업이 가능하다.

사용하는 컴퓨터에 엑셀 프로그램이 없을 경우에는 원드라이브에 가입(무료)하고 파일을 자신의 계정에 업로드하면 웹에서 수정 및 작업이 가능하다.

재무예측 – (2) 비용 예측

재무제표 중 손익계산서에서 다루는 비용은 매출비용과 판매관리비용으로 나누게 된다. 매출비용은 제품을 생산하기 위해 직접적으로 필요한 비용으로 발전소에서는 연료비, 발전소 운전인력 인건비, 발전소 시설 운전용 전력비용, 용수비, 폐기물 처리비, 약품비, 유지보수비, 감가상각비 등이 포함된다.

반면, 판매관리비는 직접 제품을 생산하는데 필요한 비용 이외의 비용으로 발전소에서는 주로 발전소장, 회계인력 등에 소용되는 비용과 사무실 유지 비용 등이 포함된다.

매출액에서 매출비용을 제한 금액이 매출이익이며, 매출이익에서 판매관리비를 제한 금액이 영업이익이다. 마지막으로 영업이익에서 은행이자를 제하고, 법인세를 제하고 나면 당기순이익을 계산할 수 있다.

매출 비용 계산

이 블로그는 10MWh급 발전소를 운영하며 1년에 8,000시간을 운전하는 것을 가정하고 예측을 하고 있다. 매출 비용에 대한 것은 아래와 같이 정리 된다.

구분 단가 연간비용
연료비 70,000원/톤(시간당 16톤)

8,960,000,000

약품비 50,000원/시간

400,000,000

용수비 500원/톤(시간당 64톤)

256,000,000

폐기물처리비 116,000원/시간

928,000,000

폐수처리비 1,250원/시간

10,000,000

전력비,보조연료비 1억원/년

100,000,000

생산 인건비 6억8천만원/년

680,000,000

보수유지비 5억원/년

500,000,000

생산경비 8천만원/년

80,000,000

보험료 1억/년

100,000,000

측정검사료 3천만원/년

30,000,000

감가상각비 15억/년

1,500,000,000

총계

13,544,000,000

판매관리비용

발전소에서 생산하는 전력은 전력거래소를 한전에서 매입하고, REC는 장기계약 또는 REC거래소를 통해 판매를 하는 판매 특징이 있으며, 인원이 많지 않기 때문에 관리비도 적게 드는 특징이 있다.

구분 단가 연간비용
판관 인건비 1.2억/년

120,000,000

판관경비 0.2억/년

20,000,000

총계

140,000,000

이와 같이 비용을 계산하면 발전소의 손익은 아래와 같이 계산된다.

매출액

13,072,320,000

SMP매출

8,088,320,000

RECP매출

4,984,000,000

매출비용

13,544,000,000

매출이익

-471,680,000

매출이익률

-3.61%

영업비용

140,000,000

영업이익

-611,680,000

영업이익률

-4.68%

위에서 보는 바와 같이 이 발전소는 영업을 해도 마이너스가 나타나는 구조이다. 실제 현금흐름을 계산하면 감가상각비 15억원은 실제 지출되는 금액이 아니므로 현금흐름은 +로 나타날 수 있다. 하지만, 손익계산서 상에서 손해가 난다는 것은 투자 타당성이 낮다는 것을 의미한다.

이것이 바로 현재 국내 신재생에너지 발전이 늘어날 수 없는 이유를 보여주는 것이다. 이 재무예측은 SMP를 113.6원과 REC를 70원으로 계산한 것으로 SMP+REC가격이 최소한 20원 이상 높아져야 투자 수익성이 충분히 나오게 된다. 하지만, 전기 다소비 산업이 주를 차지하고 있는 국내 상황, 화력발전소와 원자력 발전소가 증가되고 있고, 대통령이 전기료 인하를 지시한 상황에서 SMP가 상승되기는 어렵다고 보여진다. REC이 경우에는 법령개정으로 정부보유 REC에 대한 관리를 하게 되어서 큰 하락은 없을 것이라고 예상 되지만 크게 올라가지도 못할 것으로 예상된다.

RPS제도는 시장경제를 이용하여 신재생에너지를 장려한다는 취지는 좋았으나, 정부의 과도한 시장개입으로 인해 그 장점을 잃어버리고 말았다. 신재생에너지 계획이 발표되었으나 수익성이 확보되기 어렵고 저유가 상황이 계속 되면 신재생에너지의 보급은 요원한 일이라고 생각된다.

이 블로그에서 연재하는 신재생에너지 발전소 재무 예측은 엑셀파일로도 만들것이며, 매회 진행내용만큼 추가된 파일을 공개할 예정이다.

파일공유는 마이크로소프트(www.microsoft.com) 에서 제공하는 원드라이브(www.onedrive.com) 을 통해서 수행할 것이며, 원드라이브는 마이크로소프트에서 제공하는 클라우드 저장공간 서비스이며, 웹을 통해 엑셀, 워드, 파워포인트 등을 사용할 수 있게 기능을 제공해주고 있다.

이번 내용의 엑셀파일은 재무예측-2.xlsx (http://1drv.ms/1BiQ8EA) 에서 다운받을 수 있다.

위 링크를 클릭하면 아래 그림과 같은 화면이 나온다.

엑셀파일 공유 화면
엑셀파일 공유 화면

빨간색 사각형으로 표시한 파일 이름을 클릭하면, 아래와 같은 화면이 나온다.

엑셀파일 공유-2
엑셀파일 공유-2

현재 파일 공유는 ‘보기’만 가능하기 때문에 웹에서 바로 수정이 불가능하다, 엑셀 프로그램이 깔려 있는 경우에는 빨간 사각형을 눌러 파일을 다운받아 수정 및 작업이 가능하다.

사용하는 컴퓨터에 엑셀 프로그램이 없을 경우에는 원드라이브에 가입(무료)하고 파일을 자신의 계정에 업로드하면 웹에서 수정 및 작업이 가능하다.

재무예측 – (1) 매출액 예측

이제 실제로 재무예측을 해보자. 재무예측은 재무제표를 바탕으로 향후 사업이 어떻게 진행될 것인가를 예측해 보는 역할이다. 재무제표는 재무상태표, 포괄손익계산서, 자본변동표, 현금흐름표로 구성된다.

항목 설명
재무상태표 과거에는 대차대조표 또는 BL이라고 불리던 것으로 기업이 가지고 있는 자본과 부채를 나타낸 회계문서이다.
포괄손익계산서 손익계산서 또는 PL이라고 불리던 것으로 수익과 수익이 발생하는데 필요한 비용을 표시하여 손익 상황을 나타내는 회계문서이다.
자본변동표 자본금이 변동된 내역을 표시한 회계문서이다. 증자/감자, 자본잉여금, 기타포괄손익누계, 이익잉여금 등이 변동하였을 때 나타내는 회계문서이다.
현금흐름표 과거 CF라고 불리던 것으로 실제로 기업이 현금으로 거래한 내역을 정리한 회계문서이다. 손익계산서의 경우 감가상각비등 현금이 아닌 내용이 포함되어 있어 현금흐름만 나타낸 표이다.

실제 재무예측을 할 때에는 자본변동표를 작성할 필요는 거의 없다. 재무상태표의 경우에는 기업의 가치를 평가할 때는 필요한 문서이지만 크게 중요한 역할을 하지 않는다. 이 때문에 앞으로 작성할 내용은 포괄손익계산서(PL)과 현금흐름표(CF)를 작성하고 분석하도록 한다.

기본사항

이번 재무예측에서는 10MWh급 바이오매스 발전소를 대상으로 할 것이다. 바이오매스 발전소는 1년에 333일 운전하여 약 8,000시간 운전하는 것을 예상한다. 발전소를 운전하는데 필요한 전력은 한전의 전기를 사용할 수 없고, 발전된 전기를 사용하여야 한다. 발전소를 운전하는데 필요한 전력은 생산전력의 11%로 가정한다. 즉 실제 판매되는 전력량은 8.9MWh이다. 시설 및 토지 투자비는 300억원이며, 20년 감가상각을 하기로 한다.

SMP매출 예측

과거 포스트인 재무적검토 – (3)SMP수익 에서 예측한 SMP 단가는 113.6원/kw이다.

SMP수익 = SMP단가*시간당 판매전력량*운전시간

= 113.6원/kw*8,900kwh*8000h

= 80,88,320,000원

REC매출 예측

과거 포스트인 재무적검토 – (4) REC수익  에서 예측한 REC단가는 7만원/REC = 70원/kW 이다.

REC매출 = REC단가*시간당 판매전력량*운전시간

= 70원/kw*8,900kwh*8000h

= 4,984,000,000원

매출액 합계 = SMP매출 + REC매출

= 80,88,320,000원+4,984,000,000원

= 13,072,320,000원

엑셀파일 공유

이 블로그에서 연재하는 신재생에너지 발전소 재무 예측은 엑셀파일로도 만들것이며, 매회 진행내용만큼 추가된 파일을 공개할 예정이다.

파일공유는 마이크로소프트(www.microsoft.com) 에서 제공하는 원드라이브(www.onedrive.com) 을 통해서 수행할 것이며, 원드라이브는 마이크로소프트에서 제공하는 클라우드 저장공간 서비스이며, 웹을 통해 엑셀, 워드, 파워포인트 등을 사용할 수 있게 기능을 제공해주고 있다.

이번 내용의 엑셀파일은 재무예측-1.xlsx (http://1drv.ms/16Rgyly) 에서 다운받을 수 있다.

위 링크를 클릭하면 아래 그림과 같은 화면이 나온다.

엑셀파일 공유 화면
엑셀파일 공유 화면

빨간색 사각형으로 표시한 파일 이름을 클릭하면, 아래와 같은 화면이 나온다.

엑셀파일 공유-2
엑셀파일 공유-2

현재 파일 공유는 ‘보기’만 가능하기 때문에 웹에서 바로 수정이 불가능하다, 엑셀 프로그램이 깔려 있는 경우에는 빨간 사각형을 눌러 파일을 다운받아 수정 및 작업이 가능하다.

사용하는 컴퓨터에 엑셀 프로그램이 없을 경우에는 원드라이브에 가입(무료)하고 파일을 자신의 계정에 업로드하면 웹에서 수정 및 작업이 가능하다.